汇海(苏州)生物技术有限公司
汇海(苏州)生物技术有限公司

浜у搧鍒楄〃

PRODUCT LIST

2’-脱氧核苷三磷酸
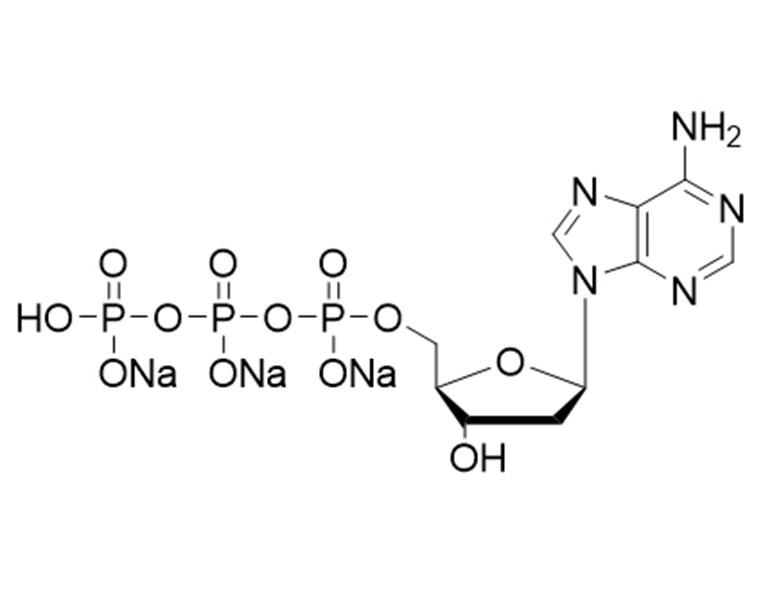
2'-脱氧腺苷-5'-三磷酸三钠盐(dATP·Na3)

中文名称:2’-脱氧腺苷-5’-三磷酸三钠盐

英文名称:2'-Deoxyadenosine-5'-triphosphate trisodium salt

CAS号:54680-12-5

分子式:C10H13N5O12P3·Na3

分子量: 557.13 

纯度:>97%

产品详情

Copyright © 2025 汇海(苏州)生物技术有限公司 版权所有 备案号:苏ICP备2023024118号     技术支持:企邦网络-苏州网络公司