首页
关于汇海
核心技术
产品中心
新闻资讯
就业机会
联系我们
EN
18852960162
网站首页
关于汇海
公司简介
发展历程
合作伙伴
核心技术
生物发酵工程技术平台
酶工程及生物合成技术平台
分离纯化技术平台
生产工艺验证技术平台
产品中心
工业酶制剂
辅酶
核苷
核苷酸
2’-脱氧核苷
2’-脱氧核苷单磷酸
2’-脱氧核苷三磷酸
阿糖核苷
修饰核苷
假尿苷
医药中间体
重组大分子蛋白
新闻资讯
公司新闻
行业资讯
技术支持
就业机会
人才理念
联系我们
联系方式
EN
18852960162
产品列表
PRODUCT LIST
工业酶制剂
辅酶
核苷
核苷酸
2’-脱氧核苷
2’-脱氧核苷单磷酸
2’-脱氧核苷三磷酸
阿糖核苷
修饰核苷
假尿苷
医药中间体
重组大分子蛋白
2’-脱氧核苷单磷酸
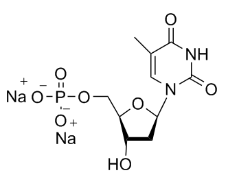
2’-脱氧胸苷-5’-单磷酸二钠(dTMP·Na2)
2’-脱氧尿苷-5’-单磷酸二钠(dUMP·Na2)
2’-脱氧腺苷-5’-单磷酸(dCMP)
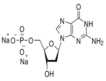
2’-脱氧鸟苷-5’-单磷酸二钠盐(dGMP·Na2)
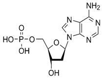
2’-脱氧腺苷-5’-单磷酸(dAMP)