汇海(苏州)生物技术有限公司
汇海(苏州)生物技术有限公司

浜у搧鍒楄〃

PRODUCT LIST

2’-脱氧核苷三磷酸
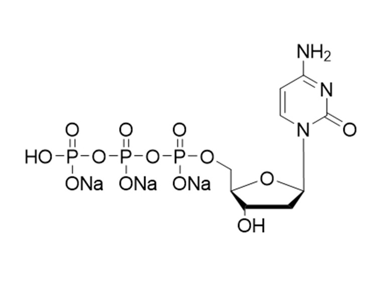
2'-脱氧胞苷-5'-三磷酸三钠盐(dCTP·Na3)

中文名称:2’-脱氧胞苷-5’-三磷酸三钠盐

英文名称:2'-Deoxycytidine-5'-triphosphate trisodium salt

CAS号:109909-44-6

分子式:C9H13N3O13P3·Na3

分子量: 533.10 

纯度:>97%


产品详情

Copyright © 2025 汇海(苏州)生物技术有限公司 版权所有 备案号:苏ICP备2023024118号     技术支持:企邦网络-苏州网络公司