汇海(苏州)生物技术有限公司
汇海(苏州)生物技术有限公司

浜у搧鍒楄〃

PRODUCT LIST

2’-脱氧核苷单磷酸
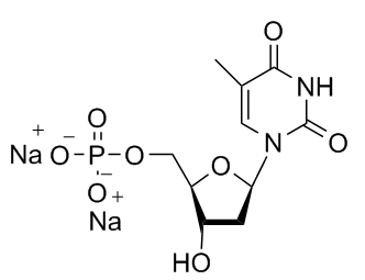
2’-脱氧胸苷-5’-单磷酸二钠(dTMP·Na2)

中文名称:2’-脱氧胸苷-5’-单磷酸二钠

英文名称:Thymidine-5'-monophosphate disodium salt CAS号:33430-62-5

分子式: C10H13N2Na2O8P

分子量: 366.17

纯度:>98%

产品详情

Copyright © 2025 汇海(苏州)生物技术有限公司 版权所有 备案号:苏ICP备2023024118号     技术支持:企邦网络-苏州网络公司